2物質系の重心の運動方程式
力学 へ戻る
大学生のための物理学 へ戻る
2023.06.21_____


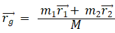
質量 m 1 (kg) の物質A と 質量 m 2 (kg) の物質B からなる2物質系について考えます。

   
   
   
   
   
   
   
   
   
   
     
     

さて、
   
   
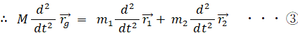
@ と A を辺々加えると、
   
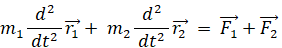
この式に B を代入して、