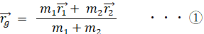
質量 m 1 (kg) の物質A と 質量 m 2 (kg) の物質B からなる2つの物質系について考えます。
系全体の運動エネルギーは次のように表されます。

この式を変形していくのですが、それには次の @ と A を利用します。


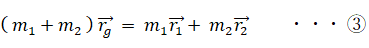
@ より、

A より、

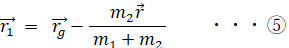
C を B に代入して、

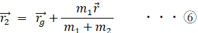
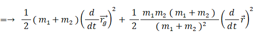
よって、

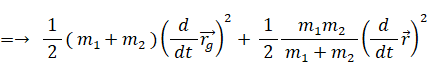
よって、

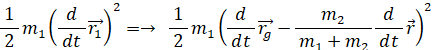
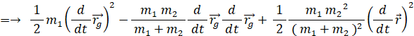
物質Aの運動エネルギーは次のように変形されます。


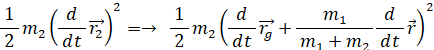
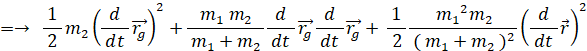
物質Bの運動エネルギーは次のように変形されます。


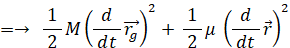
したがって、系全体の運動エネルギーは次のように表されます。



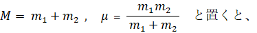
ここで、


※ μ は 換算質量 と言われます。
※ 参照: 大学生のための物理学 > 力学 > 換算質量
というわけで、系全体の運動エネルギーは、重心の運動エネルギー と 相対運動エネルギー の和で表されることが分かりました。
力学 へ戻る