質量 m 1 (kg) の物質A と 質量 m 2 (kg) の物質B からなる2つの物質系について考えます。
系全体の角運動量は次のように表されます。

この式を変形していくのですが、それには次の @ と A を利用します。


@ より、

A より、

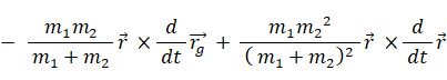
C を B に代入して、

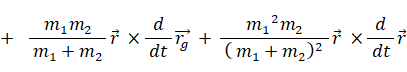
よって、

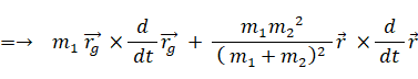
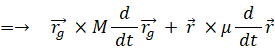
よって、

系全体の角運動量は次のように変形されます。










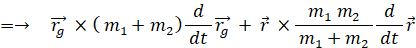
ここで、


※ μ は 換算質量 と言われます。
というわけで、系全体の角運動量は、重心の角運動量 と 相対角運動量の和で表されることが分かりました。
力学 へ戻る
大学生のための物理学 へ戻る


















