初項 a1, 公差 k の等差数列を、 第 x 項を横軸にし、 その値 y を縦軸にして、 グラフで表すと、
で表される直線上の等間隔な点の集合になります。初項 a1, 公比 r の等比数列を、 第 x 項を横軸にし、 その値 y を縦軸にして、 グラフで表すと、
で表される曲線上の点の集合になります。 この曲線は放物線ではありません。下図のグラフは、 黒色が
の放物線を表し、 青色が
の曲線を表しています。
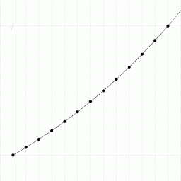
下図のグラフは
の曲線を表しています。 縦軸の値が 1 から 2 の間に 13個 の点があります。 これは、 平均律音階で半音上昇する度に振動数比がいくらになるのかを表しています。 一番低い音の振動数を 1 としたとき、 12半音( 1オクターブ )上がると、振動数比は2になります。
図形の方程式 へ戻る