ピラミッド型の角錐の体積
幾何学 へ戻る
大学生のための数学 へ戻る
2020.10.13____
【 問 題 】
3辺の長さが ルート3 と ルート3 と 2 の二等辺三角形が4つ、 一辺の長さが 2 の正方形が 1つあります。
これら5つの平面を使ってピラミッド型の角錐 ( 四角錐 ) を作ります。
この角錐の体積を 四角錐の体積の公式 や 積分 を使わないで求めてください。
【 解 答 】

正方形の重心と頂点を結ぶ線分の長さは ルート2 です。
したがって、 四角錐の高さは ルート{(ルート3)2 −(ルート2)2 } =→ 1 になります。
この四角錐を2つ持ってきて、 頂点どうしを接触させて底面どうしを平行にします。
次に、 この四角錐を4つ持ってきて4方向から頂点を一点に重ねるように組み込みます。
すると、 縦 横 高さ がそれぞれ2の立方体になります。
この立方体の体積は 23 =→ 8 です。
したがって、 四角錐の体積は 8/6 =→ 4/3 です。
【 備 考 】
四角錐の底面の面積は 4 で、 四角錐の高さは 1 です。
したがって、 角錐の体積の公式より、 この四角錐の体積は次のようになります。
1/3 × 4 × 1 =→ 4/3
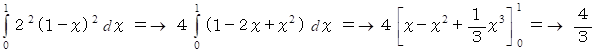
積分によってこの四角錐の体積を求める :

底面より x の高さでの四角錐の水平断面は一辺が 2(1−x) の長さの正方形です。